1802 সালে বিজ্ঞানী টমাস ইয়ং পরীক্ষার সাহায্যে আলোর ব্যতিচার প্রদর্শন করেন। এ পরীক্ষায় দুটি চিরকে সুসংগত উৎস হিসেবে ব্যবহার করা হয় বলে এটি দ্বি চির পরীক্ষা পরীক্ষা নামে পরিচিত। চির হচ্ছে দৈর্ঘ্যের তুলনায় সরু আয়তকার ছিদ্র পথকে চির বলে, ব্যাতিচারের জন্য চিরের প্রস্থ তরঙ্গদৈর্ঘ্যের তরঙ্গদৈর্ঘ্যের চেয়ে কম বা সমান হতে হয়।
S থেকে অল্প দূরে এর সমান্তরাল, সমদূরবর্তী এবং পরস্পরের খুব কাছাকাছি আরো দুটি চির S1 ও S2 অবস্থিত। S চিরকে উজ্জ্বল একবর্ণী আলো দ্বারা আলোকিত করা হয়, এটি আলোর উৎস হিসেবে কাজ করে। S থেকে নির্গত আলো S1 ও S2 এর উপর আপতিত হলে এরা দুটি স্বতন্ত্র উৎস হিসেবে কাজ করে।
এ দুটি সুসংগত উৎস হিসেবে বিবেচনা করা যায়। S1 ও S2 থেকে নির্গত আলো কিছু দূরে XY পর্দার উপর ফেলা হলে উজ্জ্বল ও অন্ধকার বিন্দুর সৃষ্টি হয়।
হাইগেনের তরঙ্গ তত্ত্বের সাহায্যে ইয়ং এর পরীক্ষার ব্যাখ্যা দেওয়া যায়।
চিরে আপাতিত আলোর তরঙ্গমুখ ( গোলীয় বা সমতল যাই হোক না কেন) প্রতিটি বিন্দু একটি গৌন উৎস হিসেবে ক্রীয়া করবে। S চিরের প্রস্থ খুব কম হওয়ায় একে একটি বিন্দু হিসেবে বিবেচনা করা যায়। সুতরাং S একটি বিন্দু উৎস হিসেবে ক্রিয়া করবে। ফলে S থেকে নির্গত আলো বেশ কিছুটা ছড়িয়ে পড়বে একই কারণে S1 ও S2 চিরদ্বয় দুটি স্বতন্ত্র উৎস হিসেবে ক্রিয়া করবে। উপরন্ত উৎসদ্বয একই উৎস থেকে সৃষ্ট বলে এদের কম্পাঙ্ক ও বিস্তার সমান এবং পরস্পর একই দশাসম্পন্ন তরঙ্গ উৎপন্ন করবে অর্থাৎ উৎসদ্বয় সুসংগত হবে।
S1 ও S2 উৎসদ্বয় থেকে নির্গত আলোক তরঙ্গের উপরিপাতন এর ফলে কোথাও সমদশায় আবার কোথাও বিপরীত দশায় মিলিত হবে। চিএে মোটা ও চিকন রেখা দ্বারা যথাক্রমে তরঙ্গ শীর্ষ ও তরঙ্গ পাদ বোঝানো হয়েছে। দুটি তরঙ্গ শীর্ষ বা তরঙ্গ পাদের মিলন অর্থাৎ সমদশায় মিলনে গঠনমূলক এবং একটি তরঙ্গ শীর্ষ ও তরঙ্গ পাদের মিলনে ধ্বংসাত্মক ব্যতিচার গঠিত হবে। ছোট কালো বৃও দ্বারা সমদশায় মিলন বোঝানো হয়েছে।
চিত্র থেকে দেখা যায় যে, কালো সাদা বৃত্তগুলো আলাদাভাবে একই রেখায় অবস্থান করে। চিত্র থেকে আরও দেখা যায়, পর্দার উপর M,O ও Q বিন্দুতে আলোর তরঙ্গ সর্বদা সমদশায় এবং N ও P বিন্দুতে সর্বদা বিপরীত দশায় মিলিত হয়। সুতরাং, M,O ও Q বিন্দুতে গঠনমূলক ব্যতিচার উজ্জ্বল বিন্দু এবং N ও P বিন্দুতে ধ্বংসাত্মক ব্যতিচার বা অন্ধকার বিন্দুর গঠিত হবে। চিরগুলো কাগজতলের লম্ব বরাবর দীর্ঘ বলে পর্দার উপর চিরগুলো সমান্তরাল উজ্জ্বল ও অন্ধকার বিন্দুগুলো আলাদাভাবে একটি রেখায় অবস্থান করে। একটি উজ্জ্বল বা অন্ধকার রেখা থেকে উভয় দিকে আলোর তীব্রতা ধীরে ধীরে পরিবর্তিত হতে থাকে।
ব্যাতিচারের গাণিতিক বিশ্লেষণ
ধরা যাক,
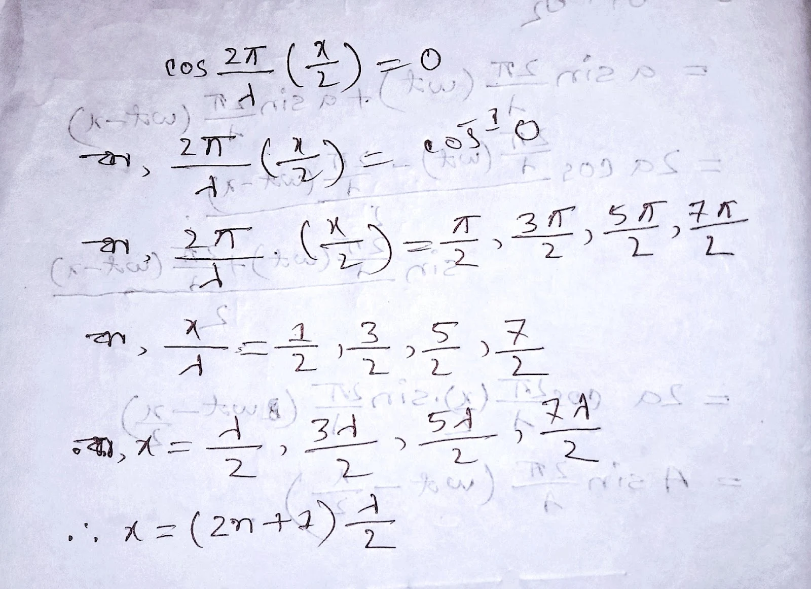
S1 ও S2 দুটি সুসংগত উৎস। S1 ও S2 উৎসদ্বয় থেকে সর্বদা একই দশা সম্পন্ন তরঙ্গ নির্গত হলেও পথ পার্থক্যের কারণে পর্দার বিভিন্ন বিন্দুতে দশা পার্থক্যের সৃষ্টি হবে।
ধরি,
t সময়ে পর্দার উপর যে কোন বিন্দু P তড়িৎচৌম্বক তরঙ্গের জন্য তড়িৎ ক্ষেত্রের মান যথাক্রমে y1 ও y2. তাদের দশাপার্থক্য x হলে এবং বিস্তার a হলে,
y1= a sinωt
y2= a sin(ωt-x)
এখানে,
A হলো লধ্বি তরঙ্গের বিস্তার। লধ্বি তরঙ্গের সর্বোচ্চ বিস্তারের জন্য অর্থাৎ গঠনমূলক ব্যাতিচার বা উজ্জ্বল বিন্দুর জন্য,
সুতরাং উৎসদ্বয় হতে যেসব বিন্দুর পথ পার্থক্য শূন্য বা তরঙ্গদৈর্ঘ্যর অখন্ড গুণিতক,সেসব বিন্দুতে গঠনমূলক ব্যতিচার গঠিত হবে অর্থাৎ শীর্ষবিন্দুর উজ্জলতা সর্বাধিক হবে।
আবার, লধ্বি তরঙ্গের সর্বনিম্ন বিস্তার বা ধ্বংসাত্মক ব্যতিচার বা অন্ধকার বিন্দুর জন্য,
সুতরাং উৎস দুটি থেকে যেসব বিন্দুর পথ পার্থক্য তরঙ্গদৈর্ঘ্যের অর্ধেকের বিজোর গুনিতক হবে, সেসব বিন্দুতে ধ্বংসাত্মক ব্যতিচার গঠিত হবে অর্থাৎ উজ্জলতা সর্বনিম্ন হবে।
★ আলোক তরঙ্গের তীব্রতা তার বিস্তারের বর্গের সমানুপাতিক,
I ∝ a2
I = ka2
এখানে,
k একটি সমানুপাতিক ধ্রুবক।
0
0
0













9 comments
,
,
খালি চোখে এই চিরদেখা যায় না। বিশেষ প্রক্রিয়ায় চিরদ্বয়কে তৈরি করা হয়।
,
,
,
গাণিতিক ব্যাখার সাহায্যেও এটি প্রমান করা যায়।
অপরদিকে চিড়দ্বয়ের ব্যবধান বেশি হলে কিন্তুু ব্যাতিচার পরীক্ষা সম্ভব না।